纳米石墨烯具有特殊的光学、电学和磁学特性,成为近年来的研究热点。而在纳米石墨烯中精准引入孔缺陷,成为一种调整其结构、电子特性及带隙的高效手段,并在光电和电子传输材料等领域展现出广阔的应用前景。
扩展螺烯是一类典型的手性纳米石墨烯分子,因其独特手性光电特性,被认为可应用于信息传递、CPL激光器和有机发光二极管等,但对扩展螺烯的改性修饰研究目前仍较为有限。与此同时,目前关于纳米石墨烯分子的孔缺陷研究大多聚焦于具有高度对称性的平面或近平面π扩展结构上,而对称性有限的纳米石墨烯分子如扩展螺烯的精确孔缺陷的研究目前仍为空白。
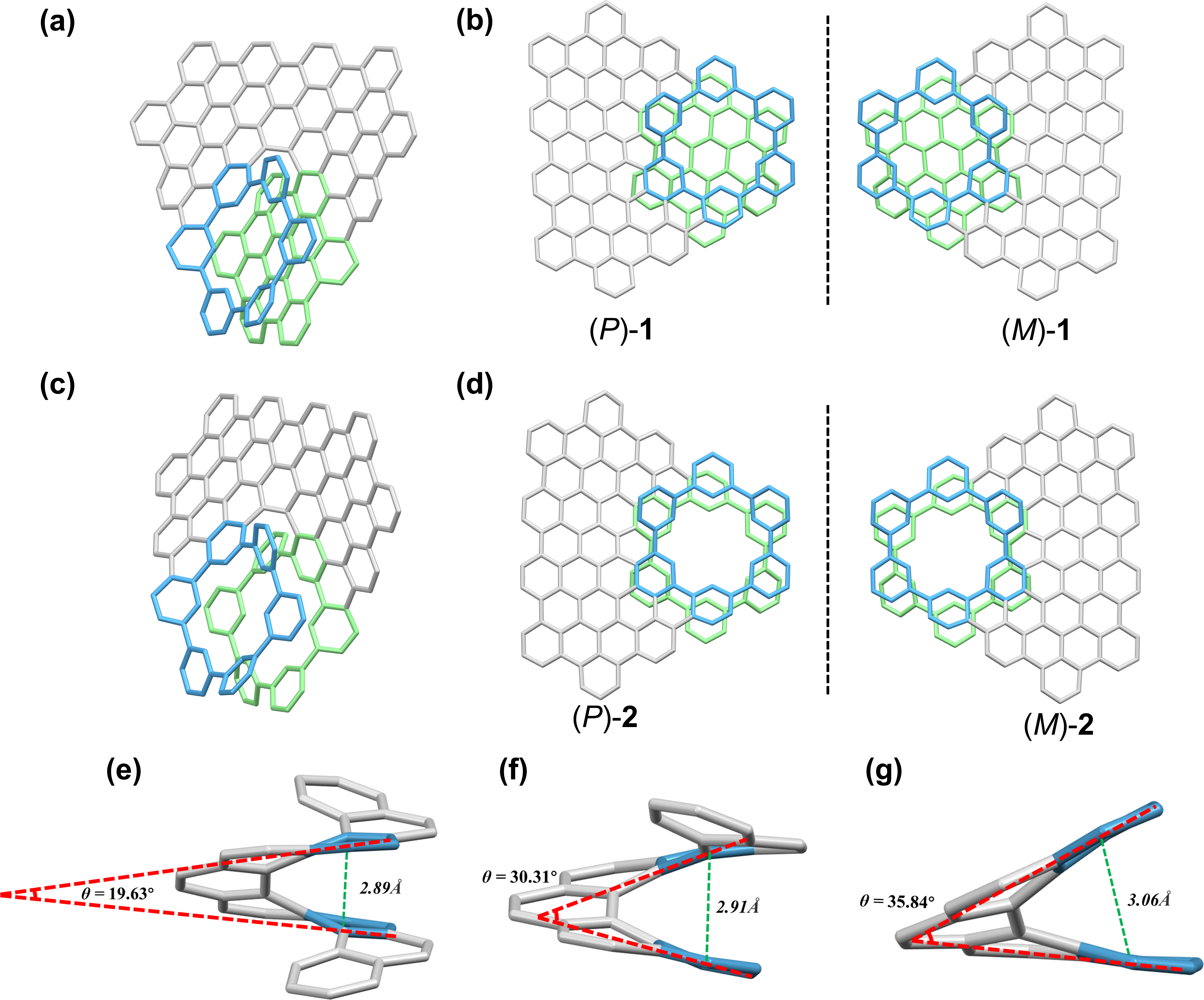
最近,龚汉元教授课题组在之前π-扩展十五苯并[9]螺烯EP9H (Angew. Chem. Int. Ed. 2023, 62, e202300840) 的研究基础上,通过“自下而上”的合成策略,引入孔缺陷片段CMP6大环, 合成了两种具有孔缺陷的扩展螺烯,即分别具有单孔和双孔缺陷的分子ED7H (1) 和 EN5H (2),并进一步探究了碳缺陷在手性纳米石墨烯分子中的影响。

X射线单晶衍射确证了上述两个分子的结构。与无缺陷的EP9H比较,缺陷的引入使得晶体中呈现的分子结构存在规律性变化,如螺旋角随着缺陷的增加而变大,并伴随晶格中分子间π-π堆积作用的削弱等。上述变化使得具有碳缺陷的螺烯分子溶解度增加,从而溶液加工中更加高效便利,并进一步影响其光电性质。

而上述分子在光学性质上同样随孔缺陷数目的增加呈现规律性的变化。孔缺陷的引入使得1和2均展现出扩展螺烯分子中较为少见的双态发光 (Dual-state emission, DSE) 特性,即孔缺陷使得聚集荧光淬灭的ACQ扩展螺烯分子改性为DSE。而液相和固相手性光学特性研究中,化合物1均表现优异。其溶液|glum| 高达 (1.41×10-2,而BCPL值为 254 M-1 cm-1。1的PMMA膜展现|glum|为8.56×10-3,其固体粉末膜则具有高达5.00 × 10-3的|glum|值。DFT计算也进一步明晰了孔缺陷影响上述性能的原理。

本工作采用自下而上的合成策略将孔缺陷引入到全共轭的π-扩展螺烯分子,系统研究了缺陷的引入对结构和基本光电性质以及手性光学性质的规律性影响。发现具有聚集引起淬灭 (ACQ) 特性的无缺陷的扩展螺烯可以转化为具有双态发射 (DSE) 和双态圆偏振发光特性的新型螺烯分子,在固相圆偏振发光(CPL)中也显示出潜在的应用价值,并为进一步开发具有双态发射的全碳氢纳米石墨烯提供了新的策略。
相关工作得到了国家自然科学基金(92156009)和51动漫 的支持。相关成果近期发表于期刊《Angewandte Chemie International Edition》:The Effects of Pore Defects in π-Extended Pentadecabenzo[9]helicene. Ke-Lin Zhu, Zhi-Ao Li, Jiaqi Liang, Kang-Li Zou, Yun-Jia Shen, Han-Yuan Gong, Angew. Chem. Int. Ed. 2024, e202409713. //doi.org/10.1002/anie.202409713. 51动漫 是该工作第一单位;2023级博士研究生朱科霖是第一作者。